摘要,功率包括電功率、機械功率。電功率又包括直流電功率、交流電功率和射頻功率;交流功率又包括正弦電路功率和非正弦電路功率;機械功率又包括線位移功率和角位移功率,角位移功率常見于電機輸出功率;電功率還可分為瞬時功率、平均功率(有功功率)、無功功率、視在功率。在電學中,不加特殊聲明時,功率均指有功功率。在非正弦電路中,無功功率又可分為位移無功功率,畸變無功功率,兩者的方和根稱為廣義無功功率。 本文列出了上述所有功率計算公式,文中p(t)指瞬時功率。u(t)、i(t)指瞬時電壓和瞬時電流。U、I指電壓、電流有效值,P指平均功率。
一、有功功率的基本概念
有功功率是保持用電設備正常運行所需的電功率,也就是將電能轉換為其他形式能量(機械能、光能、熱能)的電功率。
在交流電路中,電源在一個周期內發出瞬時功率的平均值(或負載電阻所消耗的功率),稱為有功功率,也叫平均功率。
比如:5.5千瓦的電動機就是把5.5千瓦的電能轉換為機械能,帶動水泵抽水或脫粒機脫粒,如果電動機的效率是90%,那么將獲得4.95千瓦的機械能。有功功率的符號用P表示,單位有瓦(W)、千瓦(kW)、兆瓦(MW)。
二、有功功率計算公式
1、單相平均功率的計算

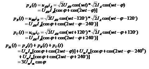
2、三相四線制電路的瞬時功率的計算
對于三相四線制網絡,我們一般都采用三表法來測量網絡的電能。圖2-3是三表法的接線原理圖。下面將對三表法計算三相四線制網絡電能的正確性進行論證。

三相四線制有功功率的測量
根據公式的電壓、電流信號,三相四線制電路的瞬時功率為各相負載瞬時功率之和。

可以看出對稱三相電路的瞬時功率是一個常量,其值等于平均功率
,其中U、I為線電壓線電流。
不對稱三相電路,總的有功功率為
由此可見不論電路是否對稱,都可以用三表法測量三線四相制電路的有功功率。2.3.2三相三線制電路的有功功率的計算
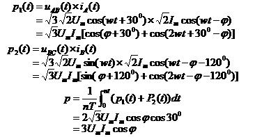
對于三相三線制,我們一般都采用二表法來測量網絡的電能。圖2-4是三表法的接線原理圖。下面將對二表法計算三相三線制網絡電能的正確性進行論證。
12
三相三線制測量有功功率的測量
根據公式所示的電壓、電流信號,相應可以分別算出三相的瞬時有功功率:

其中為相電壓相電流
由此可見無論三相電路是否對稱,都可以采用兩表法來測量三相三線制有功功率。
有功率計算公式大全
1普遍適用的功率計算公式
在電學中,下述瞬時功率計算公式普遍適用
![]()
注:有關電學瞬時功率計算公式的更多信息請閱讀:瞬時功率與有功功率計算公式。
在力學中,下述瞬時功率計算公式普遍適用
![]()
力學功率計算公式
![]()
在電學和力學中,下述平均功率計算公式普遍適用
平均功率計算公式
W為時間T內做的功。
在電學中,上述平均功率P也稱有功功率,P=W/T作為有功功率計算公式普遍適用。
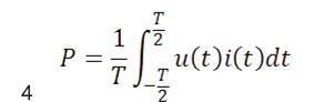
在電學中,公式(3)還可用下述積分方式表示
其中,T為周期交流電信號的周期、或直流電的任意一段時間、或非周期交流電的任意一段時間。電學中,公式(3)和(4)的物理意義完全相同。
電學中,對于二端元件或二端電路,下述視在功率計算公式普遍適用:![]()
2直流電功率計算公式
直流有功功率計算公式:![]()
已知電壓、電流時采用上述計算公式。
直流有功功率計算公式:![]()
已知電壓、電阻時采用上述計算公式。
直流有功功率計算公式:![]()
已知電流、電阻時采用上述計算公式。
針對直流電路,下圖分別列出了電壓、電流、功率、電阻之間相互換算關系。

3正弦交流電功率計算公式

4非正弦交流電功率計算公式
非正弦交流電功率計算公式采用普適公式(3)或(4)
對于周期非正弦交流電,將周期交變電壓電流進行傅里葉變換,展開為傅里葉級數,有功功率計算公式還可表示為:
非正弦電路有功功率計算公式
上式中,當n僅取一個值時,例如:n=1,上式成為基波有功功率計算公式;n=3,上式成為三次諧波有功功率計算公式。
在非正弦電路中,有功功率和視在功率的定義不變,然而,此時,電壓、電流相位差已經沒有明確的物理意義,此時,Q按照下述公式定義:
非正弦電路位移無功功率計算公式
式中,Un、In為n次諧波的有效值,當n=1時,U1、I1稱為基波有效值。
然而,此時,![]()
非正弦電路視在功率、無功功率及有功功率不滿足三角關系
由于Q與基波及諧波電壓、電流的相位角相關,稱為位移無功功率。為此,引入畸變無功功率D,畸變無功功率計算公式如下:
非正弦電路畸變無功功率計算公式
畸變無功功率有時也稱畸變功率,上式中,N為電壓、電流最大諧波次數中的小者。某些文獻中也將Q稱為無功功率,而將Q和D的方和根稱為廣義無功功率。
對比位移無功功率和畸變無功功率的計算公式,可以發現:Q是相同頻率的電壓分量與電流分量相位移不同產生的無功;而畸變無功功率則是不同頻率電壓及電流分量之間產生的無功。這一點很容易理解,前者是因為相同頻率分量之間存在相位差。而后者由于頻率不同,其相位差始終在變化,當然不會相等,而電壓和電流相位不同,就會產生無功。
非正弦電路中,視在功率S、有功功率P、位移無功功率Q、畸變無功功率D滿足下述計算公式。
![]()
5射頻功率計算公式
射頻功率屬于交流電功率,理論上具有與交流電功率相同的計算公式,但是,實際上在超高頻和微波頻段,有TEM波和非TEM波之分。在TEM波的同軸系統中,電壓和電流雖有確切含意,但測量其絕對值很困難。在波導系統中,因為存在不同的電磁模式,電壓和電流失去唯一性。在個頻段和各傳輸系統中,功率是單值表征信號強度的重要方法。在射頻范圍直接測量功率代替了電壓和電流的測量。
6三相有功功率計算公式
三相電路中,總有功功率等于各相有功功率的算術和。三相四線制電路中,通常采用三瓦計法分別測量每相的功率,三相有功功率計算公式如下:
![]()
對于三相三線制電路,也可采用二瓦計法,三相功率計算公式為:![]()
二瓦計法有功功率求和公式
注1:二瓦計法適用對稱和不對稱的三相三線制電路,詳細功率計算公式推導請參見:二瓦計與三瓦計法適用場合詳解。
對于正弦三相對稱電路,![]()
三相平衡正弦電路有功功率計算公式1
U、I為線電壓、線電流有效值,φ為相電壓與相電流的相位差。
或![]()
三相平衡正弦電路有功功率計算公式2
UP、IP為相電壓、相電流有效值,φ為相電壓與相電流的相位差。
注:采用二瓦計法測量時,每個瓦表的相位差與上述φ有內在聯系,但并相同,詳細內容請參見:二瓦計法相位與功率因數的關系。
7電動機輸出功率計算公式
電動機輸出功率也稱電動機軸功率或機械功率,電動機輸出功率計算公式如下:
電動機輸出功率計算公式
其推導過程如下:
P=FV(a)
F:力,單位為N;V:速度,單位為m/s;P:功率,單位為W
T=FR
F=T/R(b)
T:扭矩,單位為N.m;R:作用半徑,單位為m
V=2πRn/60=πR*n/30(c)
V:線速度,單位為m/s;n:轉速,單位為r/min
將(b)、(c)代入(a)
P=πTn/30
若將P的單位變為kW,得到下述電機功率計算公式:
P=πTn/30000=Tn/9549
或
T=9549P/n
注:電機輸入功率、輸出功率及扭矩的換算公式及詳細推導過程請參見:扭矩和功率的計算公式推導及記憶方法。